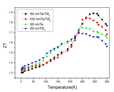
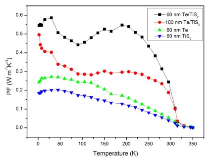
近年来,热电材料由于其独特的优势引起研究者的广泛关注。热电材料是一类可以将热能与电能直接转化的功能材料,它的应用包括温差发电和温差制冷。但受到其热电效率太低限制,并没有得到广泛应用。该研究首先利用溶剂热法制备了Te纳米线,然后以此为模板通过化学气相沉积法合成了Te/TiS2纳米电缆。热电测试表明其功率因子可高达0.58Wm−1 K−2,且热点优值(ZT)在室温下可以达到1.91,远远高于一些传统的热电材料。这一研究成果有望开辟基于单根Te/TiS2纳米电缆在热电器件方面应用的可能性。该研究成果发表在Nanotechnology(2016, 27, 415704)上。

