近日,贾瑜教授课题组的研究成果《Li-based selenized Cu2ZnSnS4 surface: Possible route to overcoming Voc-deficit of kesterite solar cells》于Applied Physics Letters (Appl. Phys. Lett., 2021, 118, 252106)杂志上发表。该杂志影响因子为3.6,中科院分区二区,文章链接//doi.org/10.1063/5.0055429。
通常,薄膜太阳能电池的开路电压依赖于其前电极和吸收层界面处的能带弯曲。由于CZTS侧过高的空穴浓度,在CZTS/CdS界面很难形成实质性的能带弯曲,这极大地阻碍了开路电压的提高。因此,抑制CZTS侧强p型特征或者将其转变为弱n型是克服开路电压损失的一个值得探究的思路。
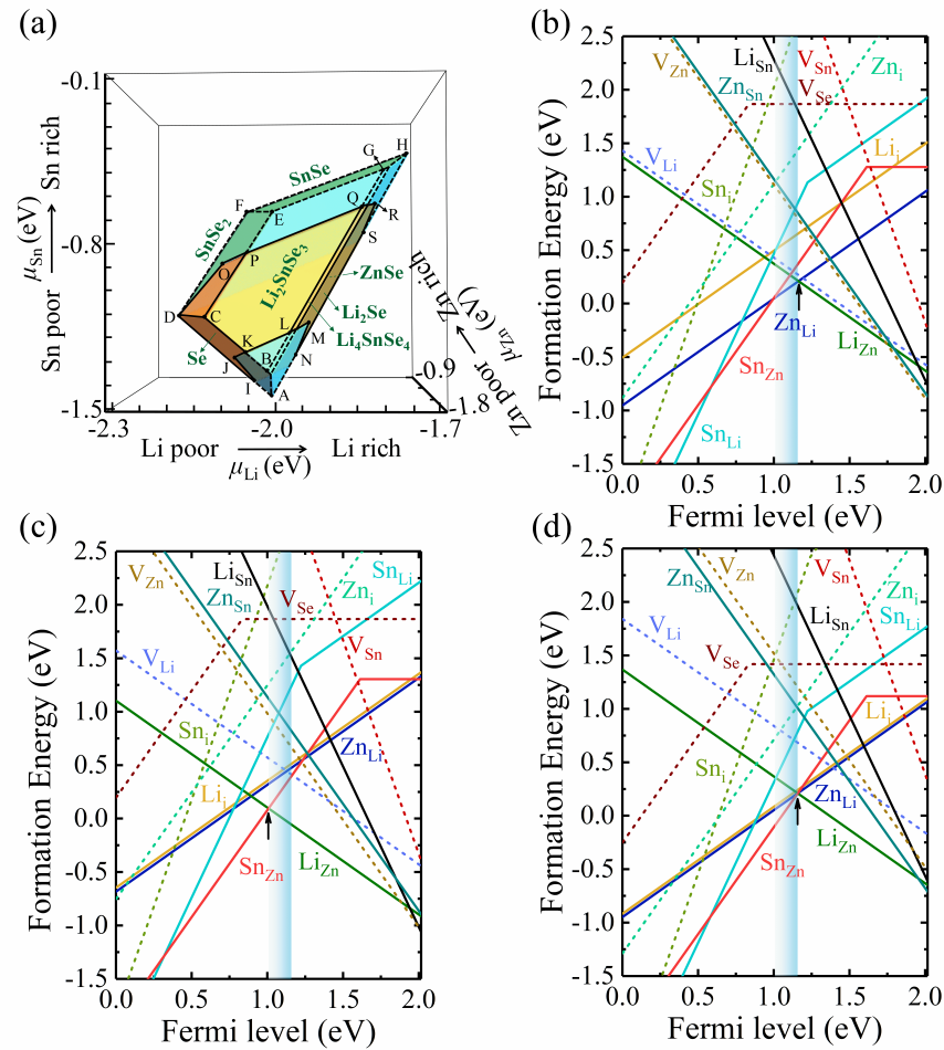
这项工作基于第一性原理计算,结果表明锂基硒化的CZTS表面表现出十分优异的性能:(1)很大程度改善了缺陷和带边性质,这有助于抑制载流子的非辐射复合和促进电子提取;(2)本征的弱n型缺陷特征有效增大了CZTS/CdS界面处的带边弯曲从而提高电池的开路电压。

特种功能材料教育部重点实验室硕士研究生崔迎茹对本研究工作的实施和博士研究生项会雯对论文的写作有贡献,实验室刘成延老师和贾瑜教授为文章通讯作者。本工作得到了国家自然科学基金和河南省高校重点科研项目的支持。